医药中间体
| 序号 | 产品名称 | CAS号 | 结构图 | API名称 | 状态 |
|---|---|---|---|---|---|
| 1 | 4-异硫代氰酰基-2-三氟甲基苯甲腈 | 143782-23-4 | ![]() |
恩杂鲁胺 | 商业化 |
| 2 | 2-氟-5-甲酰基苯腈 | 218301-22-5 | ![]() |
奥拉帕尼 | 商业化 |
| 3 | 2-氟-5-3-氧代-13H-异苯并呋喃亚基甲基苯腈 | 763114-25-6 | ![]() |
奥拉帕尼 | 商业化 |
| 4 | 5-3,4-二氢-4-氧代-1-酞嗪基甲基-2-氟苯甲酸 | 763114-26-7 | ![]() |
奥拉帕尼 | 商业化 |
| 5 | 脱氢诺龙醋酸酯 | 2590-41-2 | ![]() |
氟维司群 | 商业化 |
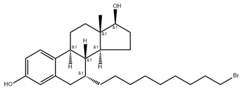
| 6 | 7α-9-溴壬烷基雌甾-1,3,510-三烯-3,17β-二醇 | 875573-67-4 | ![]() |
氟维司群 | 商业化 |
| 7 | 氟维司群中间体 | 875573-69-6 | ![]() |
氟维司群 | 商业化 |
| 8 | 7A,17B- 7-9-4,4,5,5,5-五氟戊基硫壬基雌甾-1,3,510-三烯-3,17-二醇 | 153004-31-0 | ![]() |
氟维司群 | 商业化 |
| 9 | 2,2-二甲基-1-2-硫代噻唑烷-3-基丙-1-酮 | 138459-91-3 | ![]() |
艾拉司群 | 商业化 |
| 10 | 4-(4-碘-1H-吡唑-1-基)-1-哌啶羧酸-1,1-二甲基乙酯 | 877399-73-0 | ![]() |
克唑替尼 | 商业化 |
| 11 | 4-4-4,4,5,5-四甲基-1,3,2-二氧杂环戊硼烷-2-基-1H-吡唑-1-基哌啶-1-甲酸叔丁酯 | 877399-74-1 | ![]() |
克唑替尼 | 商业化 |
| 12 | 3-1R-2,6-二氯-3-氟苯基乙氧基-2-氨基-5-溴吡啶 | 877399-00-3 | ![]() |
克唑替尼 | 商业化 |
| 13 | 7-苄氧基-4-氯-6-甲氧基喹啉 | 286371-49-1 | ![]() |
安罗替尼 | 商业化 |
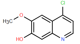
| 14 | 4-氯-6-甲氧基喹啉-7-醇 | 205448-31-3 | ![]() |
安罗替尼 | 商业化 |
| 15 | 2-氟-3 -((2-甲基-1,3-二氧戊环-2-基)甲基)-4-硝基苯酚 | 2408629-32-1 | ![]() |
安罗替尼 | 商业化 |
| 16 | 4-氟-5-羟基-2-甲基吲哚 | 288385-88-6 | ![]() |
安罗替尼 | 商业化 |
| 17 | 1-羟甲基环丙基氨基甲酸苄酯 | 103500-22-7 | ![]() |
安罗替尼 | 商业化 |
| 18 | 5-氨基-3-三氟甲基氰基吡啶 | 573762-62-6 | ![]() |
阿帕鲁胺 | 商业化 |
| 19 | 5-异硫氰酰基-3-三氟甲基吡啶-2-氰基 | 951753-87-0 | ![]() |
阿帕鲁胺 | 商业化 |
| 20 | 2,4-二甲基-5-甲酰基-1H-吡咯-3-甲酸 | 253870-02-9 | ![]() |
舒尼替尼 | 商业化 |
| 21 | 2-氯甲基-3,5-二甲基-4-甲氧基吡啶盐酸盐 | 86604-75-3 | ![]() |
艾司奥美拉唑 | 商业化 |
| 22 | 2-巯基-5-甲氧基苯并咪唑 | 37052-78-1 | ![]() |
艾司奥美拉唑 | 商业化 |
| 23 | 2-氯甲基-3-甲基-4-3-甲氧丙氧基吡啶盐酸盐 | 153259-31-5 | ![]() |
雷贝拉唑 | 商业化 |
| 24 | 2-4-3-甲氧基丙氧基-3-甲基吡啶-2-基甲基硫代-1H-苯并咪唑 | 117977-21-6 | ![]() |
雷贝拉唑 | 商业化 |
| 25 | 2-氯甲基-3-甲基-4-(2,2,2-三氟乙氧基)吡啶盐酸盐 | 127337-60-4 | ![]() |
兰索拉唑 | 商业化 |
| 26 | 2-氯甲基-3,4-二甲氧基吡啶盐酸盐 | 72830-09-2 | ![]() |
泮托拉唑 | 商业化 |
| 27 | 5-二氟甲氧基-2-巯基-1H-苯并咪唑 | 97963-62-7 | ![]() |
泮托拉唑 | 商业化 |
| 28 | 6-氧苄基鸟嘌呤 | 19916-73-5 | ![]() |
恩替卡韦 | 商业化 |
| 29 | 玛巴洛沙韦中间体 | 1370250-39-7 | ![]() |
玛巴洛沙韦 | 商业化 |
| 30 | R-7-苄氧基-3,4,12,12A-四氢-1H-1,4联氮3,4-C吡啶并2,1-F1,2,4三嗪-6,8-二酮 | 1985607-70-2 | ![]() |
玛巴洛沙韦 | 商业化 |
| 31 | 4-氯丁醛缩二甲醇 | 29882-07-3 | ![]() |
舒马曲坦 | 商业化 |
| 32 | 7,8-二氟二苯并b,e硫杂七环-116H-酮 | 2136287-66-4 | ![]() |
玛巴洛沙韦 | 商业化 |
| 33 | 2-二甲胺基丁醛缩二甲醇 | 19718-92-4 | ![]() |
利扎曲坦 | 商业化 |
| 34 | 7,8 -二氟- 6,11 -二氢-二苯并 B,E 噻吩并- 11 -醇 | 1985607-83-7 | ![]() |
玛巴洛沙韦 | 商业化 |
| 35 | 4-氯丁醛缩二乙醇 | 6139-83-9 | ![]() |
阿莫曲普坦 | 商业化 |
| 36 | 4-二甲胺基丁醛缩二乙醇 | 1116-77-4 | ![]() |
佐米曲普坦 | 商业化 |
| 37 | S-N1-2-氨基乙基-3-4-乙氧基苯基丙烷-1,2-二胺三盐酸盐 | 221640-06-8 | ![]() |
造影剂 | 商业化 |
| 38 | N-1,1 - 二甲基乙氧基羰基-O-乙基-L-酪氨酸甲酯 | 92507-32-9 | ![]() |
造影剂 | 商业化 |
| 39 | S-1-4-乙氧基苯基-3-羟基丙烷-2-基氨基甲酸叔丁酯 | 1252686-29-5 | ![]() |
造影剂 | 商业化 |
| 40 | 2-4-氟苯基-5-5-碘-2-甲基苯基甲基噻吩 | 898566-17-1 | ![]() |
卡格列净 | 商业化 |
| 41 | R,E-5-1,1'-联苯-4-基-4-叔丁氧羰基氨基-2-甲基-2-戊烯酸 | 1012341-48-8 | ![]() |
沙库巴曲缬沙坦 | 商业化 |
| 42 | 4-氯-7-甲苯磺酰基-7H-吡咯2,3-D嘧啶 | 479633-63-1 | ![]() |
托法替布 | 商业化 |
| 43 | 2-羟基吡啶-N-氧化物(HOPO) | 13161-30-3 | ![]() |
HOPO | 商业化 |
| 44 | 1-3-二甲基氨基丙基-3-乙基碳化二亚胺盐酸盐 | 25952-53-8 | ![]() |
EDCI盐酸盐 | 商业化 |
| 45 | 2-甲胺基-3-吡啶甲醇 | 32399-12-5 | ![]() |
艾沙康唑 | 商业化 |
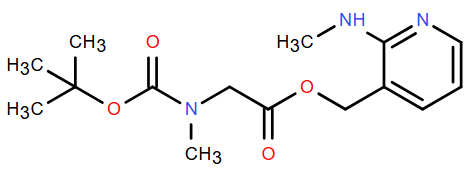
| 46 | 2-甲基氨基吡啶-3-基甲基 2-叔丁氧羰基甲基氨基乙酸酯 | 1180002-01-0 | ![]() |
艾沙康唑 | 商业化 |
| 47 | N-甲基-N-3-N-叔丁氧羰基-N-甲基氨基乙酰氧基甲基吡啶-2-基氨基甲酸1-氯乙基酯 | 338990-31-1 | ![]() |
艾沙康唑 | 商业化 |
| 48 | 2-溴-4’-氰基苯乙酮 | 20099-89-2 | ![]() |
艾沙康唑 | 商业化 |